蘇州工業廢水處理企業安峰公司,在企業廢水處理施工流程中對污泥產生量會進行估算。安峰工業廢水采用獨特處理系統,廢水中污泥含量市場上一般含有量在0.3%-0.5%,若對工業廢水達到回用目的,對水質進行深度處理的話,污泥產出量會增加0.5-1倍左右。整個工業廢水處理方案會注重污泥產出比,并對污泥處理費用有一個預估。
不同工業廢水中產生污泥種類不同,特性出會有差異。污泥處理費用也將是工業廢水處理后續延伸。污泥處理在工業廢水中以何種形式存在?污泥種類又有哪些具體分類?
一、污水處理污泥分類及特性
1、按成分不同分
污泥:以有機物為主要成分。其主要性質是易于腐化發臭,顆粒較細,比重較小(約為1.02~1.006),含水率高且不易脫水,屬于膠狀結構的親水性物質。初次沉淀池與二次沉淀池的沉淀物均屬污泥。
沉渣:以無機物為主要成分。其主要是顆粒較粗,比重較大(約為2左右),含水率較低且易于脫水,流動性差。沉砂池與某些工業廢水處理沉淀池的沉淀物屬沉渣。
2、按來源不同分
初次沉淀污泥(也稱生污泥或新鮮污泥):來自初次沉淀池。
剩余活性污泥(也稱生污泥或新鮮污泥):來自活性污泥法后的二次沉淀池。
腐殖污泥(也稱生污泥或新鮮污泥):來自生物膜法后的二次沉淀池。
消化污泥(也稱熟污泥):生污泥經厭氧消化或好氧消化處理后的污泥。
化學污泥(也稱化學沉渣):用化學沉淀法處理污水后產生的沉淀物。例如,用混凝沉淀法去除污水中的磷;投加硫化物去除污水中的重金屬離子;投加石灰中和酸性污水產生的沉渣以及酸、堿污水中和處理產生的沉渣等均稱為化學污泥。
3、城市污水廠污泥的特性見表
表城市污水處理廠污泥的性質和數量

4、污泥中水的存在形式
空隙水,顆粒間隙中的游離水,約70%,可通過重力沉淀(濃縮壓密)而分離;
毛細水,是在高度密集的細小污泥顆粒周圍的水,由毛細管現象而形成的,約20%,可通過施加離心力、負壓力等外力,破壞毛細管表面張力和凝聚力的作用力而分離;
顆粒表面吸附水和內部結合水,約10%。表面吸附水是在污泥顆粒表面附著的水分,起附著力較強,常在膠體狀顆粒,生物污泥等固體表面上出現,采用混凝方法,通過膠體顆粒相互絮凝,排除附著表面的水分;內部結合水,是污泥顆粒內部結合的水分,如生物污泥中細胞內部水分,無機污泥中金屬化合物所帶的結晶水等,可通過生物分離或熱力方法去除。
通常含水率在85%以上時,污泥呈流態;65%~85%時呈塑態;低于60%時則呈固態。
二、城市污水廠產泥的計算
城市污水處理產生的污泥主要是初沉池污泥和活性污泥(剩余污泥量),計算方法如下:
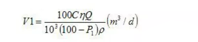
1、初沉污泥體積流量V1

式中:
Q——污水流量,取污水廠的平均日流量,m3/d;
C——進入初沉池污水中懸浮物濃度,kg/m3;
η——初沉池沉淀效率(城市污水廠一般取50%),%;
P1——污泥含水率(一般取95%-97%),%;
ρ——初沉池污泥濃度(以1000kg/m3計),kg/m3。
或者按下面公式計算:

式中:
SL——每人每日污泥量[按每人每日計產生的初沉污泥量為14-27g,初沉污泥含水率以95%-97%計,則每人每日產生初沉污泥量一般采用0.3-0.8L/(人·d)],L/(人·d);
N——設計人口數(可采用城市人口數或污水處理廠設計當量人口數),人;
t——初沉池兩次排泥的間隔時間,d。
應注意V1是計算公式中所取定含水率P1時的污泥量。
2、剩余污泥體積流量V2
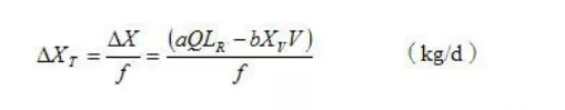
(1)剩余污泥干質量ΔXT
每日排除剩余污泥干重ΔXT(kg/d)等于活性污泥系統中每日產生的活性污泥干質量。

式中:
ΔX——揮發性物質基污水廠剩余污泥流量,kg/d;
Q——平均體積流量,m3/d;
a、b——污泥產率系數和污泥自身氧率,以生活污水為主的城市污水,一般為0.5-0.6,為0.06-0.1/d;
LR——曝氣池進水BOD5濃度差,kg/m3;
XV——曝氣池混合液揮發性懸浮物固體濃度,kg/m3;
V——曝氣池容積,m3;
f——曝氣池揮發性懸浮固體和懸浮固體濃度值比,
(2)剩余污泥的體積量V2

中:
P為剩余污泥含水率,取99.2%-96%。
3、濃縮剩余污泥體積流量V3

式中:
V2——濃縮前的污泥量;
P,P1——濃縮前、后的污泥含水率,可分別取99.2%和96%。
工業廢水處理企業安峰公司注重整個處理流程實施,廢水處理系統設備也會影響污泥產出比。污泥出水時含量達到80%以上,企業要經過干化處理后水量達到20%以下,極大降低企業的處理成本。蘇州工業廢水處理公司排名中,安峰環保算是比較知名一家企業,在廢水處理設備、流程、施工人員方面,都會制定嚴格的處理方案,歡迎廣大客戶前來咨詢: